기록하는삶
[코딩 테스트 연습(파이썬/Python)] 백준(BOJ) 1991번 _ 트리 순회 본문
https://www.acmicpc.net/problem/1991
1991번: 트리 순회
첫째 줄에는 이진 트리의 노드의 개수 N(1 ≤ N ≤ 26)이 주어진다. 둘째 줄부터 N개의 줄에 걸쳐 각 노드와 그의 왼쪽 자식 노드, 오른쪽 자식 노드가 주어진다. 노드의 이름은 A부터 차례대로 알파
www.acmicpc.net
[문제]
이진 트리를 입력받아 전위 순회(preorder traversal), 중위 순회(inorder traversal), 후위 순회(postorder traversal)한 결과를 출력하는 프로그램을 작성하시오.

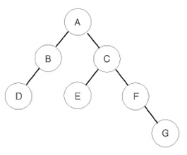
예를 들어 위와 같은 이진 트리가 입력되면,
- 전위 순회한 결과 : ABDCEFG // (루트) (왼쪽 자식) (오른쪽 자식)
- 중위 순회한 결과 : DBAECFG // (왼쪽 자식) (루트) (오른쪽 자식)
- 후위 순회한 결과 : DBEGFCA // (왼쪽 자식) (오른쪽 자식) (루트)
가 된다.
[입력]
첫째 줄에는 이진 트리의 노드의 개수 N(1 ≤ N ≤ 26)이 주어진다. 둘째 줄부터 N개의 줄에 걸쳐 각 노드와 그의 왼쪽 자식 노드, 오른쪽 자식 노드가 주어진다. 노드의 이름은 A부터 차례대로 알파벳 대문자로 매겨지며, 항상 A가 루트 노드가 된다. 자식 노드가 없는 경우에는 .으로 표현한다.
[출력]
첫째 줄에 전위 순회, 둘째 줄에 중위 순회, 셋째 줄에 후위 순회한 결과를 출력한다. 각 줄에 N개의 알파벳을 공백 없이 출력하면 된다.
[아이디어]
1) 전위 순회: 루트를 먼저 방문
중위 순회: 왼쪽 자식을 방문한 뒤 루트를 방문
후위 순회: 왼쪽과 오른쪽 자식을 방문한 뒤 루트를 방문
2) 재귀적 구현이 가능하다.
class Node():
def __init__(self, data, left_node, right_node):
self.data = data
self.left_node = left_node
self.right_node = right_node
def preorder(node):
print(node.data, end = '')
if node.left_node !='.':
preorder(tree[node.left_node])
if node.right_node !='.':
preorder(tree[node.right_node])
def inorder(node):
if node.left_node !='.':
inorder(tree[node.left_node])
print(node.data, end = '')
if node.right_node !='.':
inorder(tree[node.right_node])
def postorder(node):
if node.left_node !='.':
postorder(tree[node.left_node])
if node.right_node !='.':
postorder(tree[node.right_node])
print(node.data, end = '')
n=int(input())
tree = dict()
for i in range(n):
a,b,c = input().split()
tree[a] = Node(a,b,c)
preorder(tree['A'])
print()
inorder(tree['A'])
print()
postorder(tree['A'])
나동빈씨는 내게 꿈과 희망을 준다. 세 순회 방식이 순서의 차이라는 것이 중요하다.
n=int(input())
tree = dict()
ans = ['']*3
for i in range(n):
a,b,c = input().split()
tree[a] = [b,c]
def traversal(x):
if x!='.':
ans[0] += x
traversal(tree[x][0])
ans[1] += x
traversal(tree[x][1])
ans[2] += x
traversal('A')
print(*ans, sep='\n')
간단한 문제이기 때문에, 위처럼 짧은 코딩도 가능하다. 순서를 잘 활용해 구현한 재귀가 인상적이다. (이해하는데도 한참 걸렸다..) 노드가 없음을 의미하는 '.'을 만나면 자동으로 탈출도 가능하고,, 각 방법에 대해 자신과 관계 없는 부분을 지우고 생각하면 위 클래스를 활용한 방법과 동일한 코드다.
'백준(Python) > 그래프, 그래프탐색' 카테고리의 다른 글
| [코딩 테스트 연습(파이썬/Python)] 백준(BOJ) 4386번 _ 별자리 만들기 (0) | 2022.02.19 |
|---|---|
| [코딩 테스트 연습(파이썬/Python)] 백준(BOJ) 1987번 _ 알파벳 (0) | 2022.02.19 |
| [코딩 테스트 연습(파이썬/Python)] 백준(BOJ) 11725번 _ 트리의 부모 찾기 (0) | 2022.02.12 |
| [코딩 테스트 연습(파이썬/Python)] 백준(BOJ) 13913번 _ 숨바꼭질 4 (0) | 2022.02.10 |
| [코딩 테스트 연습(파이썬/Python)] 백준(BOJ) 13549번 _ 숨바꼭질 3 (0) | 2022.02.10 |